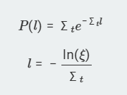
شبیه‌سازی مونت‌کارلو چندنسلی نوترون‌های حرارتی و سریع در راکتورهای هسته‌ای با استفاده از داده‌های ENDF/B-VIII.۰ و الگوریتم‌های کاهش واریانس تطبیقی

جستجو


ابزارهای برخط

Applications Hub

بازی های برخط

Games Hub

سایدبار کناری

در باره من!

سید مهدی سلیمی هستم؛ معمار نرم افزار، طراح، برنامه نویس، مدرس، پژوهشگر علوم رایانه و طراح صدا. متولد نیمه ی آخرین ماه آخرین سال دهه شصت خورشیدی.

تو اسم منو میدونی نه داستانمو، تو قسمتی از زندگی منو دیدی که خودم خواستم نشونت بدم، پس سعی نکن منو قضاوت کنی، من مسیرهایی رو تنهایی، تو تاریکی شب رفتم که تو حتی نمیتوتی تو ذهنت تصور کنی که تو روز روشن بری.